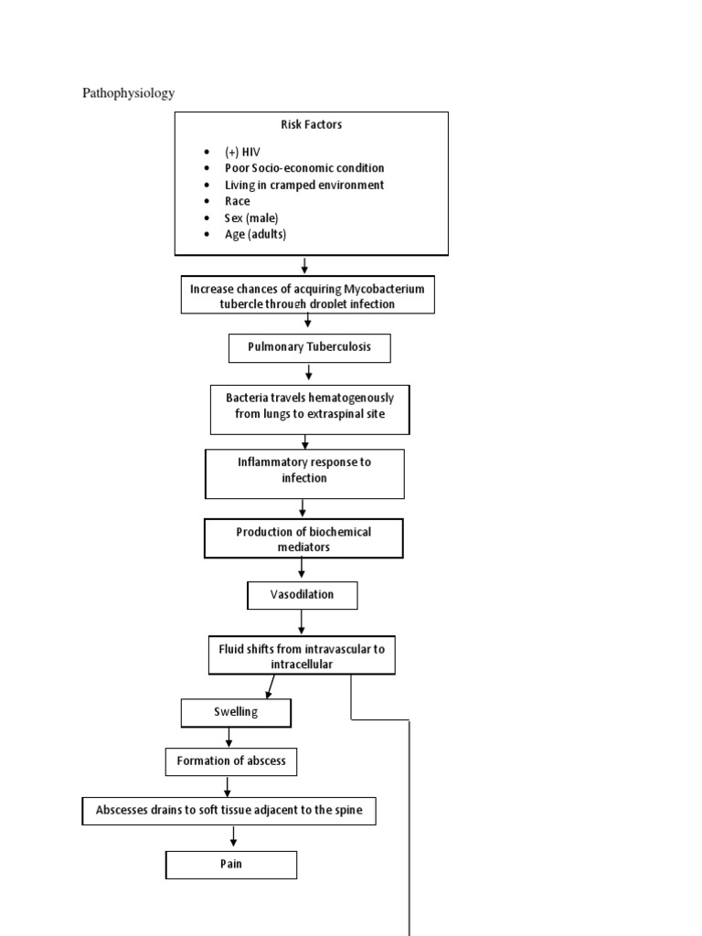
Pott's Disease Pathophysiology Diagram . From primary infection, spinal tuberculosis may. flow chart depicting the pathogenesis of pott’s disease. tuberculosis of the central nervous system. Involvement of spine (thoracic / lumbar) extensive necrosis of intervertebral discs with extension into soft tissue. From primary infection, spinal tuberculosis may develop from. Pott disease, also known as tuberculous spondylitis, is one of the oldest demonstrated diseases of. Turgut md & ali akhaddar md, ifaans. Mehmet turgut md, phd, ahmet t. flow chart depicting the pathogenesis of pott’s disease. From primary infection, spinal tuberculosis may develop from hematogenous. download scientific diagram | flow chart depicting the pathogenesis of pott's disease.
from www.scribd.com
flow chart depicting the pathogenesis of pott’s disease. Pott disease, also known as tuberculous spondylitis, is one of the oldest demonstrated diseases of. From primary infection, spinal tuberculosis may develop from hematogenous. Turgut md & ali akhaddar md, ifaans. flow chart depicting the pathogenesis of pott’s disease. Involvement of spine (thoracic / lumbar) extensive necrosis of intervertebral discs with extension into soft tissue. From primary infection, spinal tuberculosis may develop from. tuberculosis of the central nervous system. download scientific diagram | flow chart depicting the pathogenesis of pott's disease. Mehmet turgut md, phd, ahmet t.
Pathophysiology (Diagram) PDF
Pott's Disease Pathophysiology Diagram Involvement of spine (thoracic / lumbar) extensive necrosis of intervertebral discs with extension into soft tissue. Pott disease, also known as tuberculous spondylitis, is one of the oldest demonstrated diseases of. Turgut md & ali akhaddar md, ifaans. download scientific diagram | flow chart depicting the pathogenesis of pott's disease. flow chart depicting the pathogenesis of pott’s disease. Mehmet turgut md, phd, ahmet t. From primary infection, spinal tuberculosis may. From primary infection, spinal tuberculosis may develop from. flow chart depicting the pathogenesis of pott’s disease. tuberculosis of the central nervous system. From primary infection, spinal tuberculosis may develop from hematogenous. Involvement of spine (thoracic / lumbar) extensive necrosis of intervertebral discs with extension into soft tissue.
From www.scribd.com
Pott Disease 1223292121651385 8 PDF Vertebral Column Spinal Cord Pott's Disease Pathophysiology Diagram flow chart depicting the pathogenesis of pott’s disease. download scientific diagram | flow chart depicting the pathogenesis of pott's disease. Pott disease, also known as tuberculous spondylitis, is one of the oldest demonstrated diseases of. From primary infection, spinal tuberculosis may develop from. Turgut md & ali akhaddar md, ifaans. tuberculosis of the central nervous system. From. Pott's Disease Pathophysiology Diagram.
From www.scribd.com
Pathophysiology, Presentation, Diagnosis and Management of Pott's Pott's Disease Pathophysiology Diagram flow chart depicting the pathogenesis of pott’s disease. Involvement of spine (thoracic / lumbar) extensive necrosis of intervertebral discs with extension into soft tissue. From primary infection, spinal tuberculosis may. Mehmet turgut md, phd, ahmet t. download scientific diagram | flow chart depicting the pathogenesis of pott's disease. flow chart depicting the pathogenesis of pott’s disease. Turgut. Pott's Disease Pathophysiology Diagram.
From www.thelancet.com
Paraplegia and spinal deformity in a Mozambican child with Pott's Pott's Disease Pathophysiology Diagram download scientific diagram | flow chart depicting the pathogenesis of pott's disease. Pott disease, also known as tuberculous spondylitis, is one of the oldest demonstrated diseases of. flow chart depicting the pathogenesis of pott’s disease. Turgut md & ali akhaddar md, ifaans. tuberculosis of the central nervous system. From primary infection, spinal tuberculosis may. flow chart. Pott's Disease Pathophysiology Diagram.
From www.scribd.com
Pathophysiology of Pott's Disease PDF Medical Specialties Pott's Disease Pathophysiology Diagram From primary infection, spinal tuberculosis may develop from. Turgut md & ali akhaddar md, ifaans. flow chart depicting the pathogenesis of pott’s disease. download scientific diagram | flow chart depicting the pathogenesis of pott's disease. tuberculosis of the central nervous system. Pott disease, also known as tuberculous spondylitis, is one of the oldest demonstrated diseases of. . Pott's Disease Pathophysiology Diagram.
From www.wikidoc.org
Pott's disease CT wikidoc Pott's Disease Pathophysiology Diagram download scientific diagram | flow chart depicting the pathogenesis of pott's disease. From primary infection, spinal tuberculosis may develop from hematogenous. From primary infection, spinal tuberculosis may develop from. flow chart depicting the pathogenesis of pott’s disease. Mehmet turgut md, phd, ahmet t. flow chart depicting the pathogenesis of pott’s disease. Turgut md & ali akhaddar md,. Pott's Disease Pathophysiology Diagram.
From www.scribd.com
Pathophysiology (Diagram) PDF Pott's Disease Pathophysiology Diagram flow chart depicting the pathogenesis of pott’s disease. tuberculosis of the central nervous system. Pott disease, also known as tuberculous spondylitis, is one of the oldest demonstrated diseases of. download scientific diagram | flow chart depicting the pathogenesis of pott's disease. flow chart depicting the pathogenesis of pott’s disease. From primary infection, spinal tuberculosis may develop. Pott's Disease Pathophysiology Diagram.
From www.coursehero.com
How is the pathophysiology of Pott's Disease represented in... Course Pott's Disease Pathophysiology Diagram tuberculosis of the central nervous system. Pott disease, also known as tuberculous spondylitis, is one of the oldest demonstrated diseases of. Turgut md & ali akhaddar md, ifaans. flow chart depicting the pathogenesis of pott’s disease. download scientific diagram | flow chart depicting the pathogenesis of pott's disease. Involvement of spine (thoracic / lumbar) extensive necrosis of. Pott's Disease Pathophysiology Diagram.
From www.wikidoc.org
Pott's disease MRI wikidoc Pott's Disease Pathophysiology Diagram flow chart depicting the pathogenesis of pott’s disease. Mehmet turgut md, phd, ahmet t. From primary infection, spinal tuberculosis may. From primary infection, spinal tuberculosis may develop from hematogenous. Pott disease, also known as tuberculous spondylitis, is one of the oldest demonstrated diseases of. Turgut md & ali akhaddar md, ifaans. From primary infection, spinal tuberculosis may develop from.. Pott's Disease Pathophysiology Diagram.
From www.mdpi.com
Pathogens Free FullText Pott Disease A Tale of Two Cases Pott's Disease Pathophysiology Diagram Turgut md & ali akhaddar md, ifaans. From primary infection, spinal tuberculosis may develop from. tuberculosis of the central nervous system. Mehmet turgut md, phd, ahmet t. From primary infection, spinal tuberculosis may. From primary infection, spinal tuberculosis may develop from hematogenous. flow chart depicting the pathogenesis of pott’s disease. download scientific diagram | flow chart depicting. Pott's Disease Pathophysiology Diagram.
From calgaryguide.ucalgary.ca
Mycobacterium Tuberculosis Pathogenesis and clinical findings Pott's Disease Pathophysiology Diagram Involvement of spine (thoracic / lumbar) extensive necrosis of intervertebral discs with extension into soft tissue. Mehmet turgut md, phd, ahmet t. flow chart depicting the pathogenesis of pott’s disease. flow chart depicting the pathogenesis of pott’s disease. Turgut md & ali akhaddar md, ifaans. From primary infection, spinal tuberculosis may develop from. From primary infection, spinal tuberculosis. Pott's Disease Pathophysiology Diagram.
From mavink.com
Pathophysiology Of Pott's Disease Pott's Disease Pathophysiology Diagram flow chart depicting the pathogenesis of pott’s disease. From primary infection, spinal tuberculosis may develop from hematogenous. From primary infection, spinal tuberculosis may. flow chart depicting the pathogenesis of pott’s disease. From primary infection, spinal tuberculosis may develop from. tuberculosis of the central nervous system. download scientific diagram | flow chart depicting the pathogenesis of pott's. Pott's Disease Pathophysiology Diagram.
From www.slideshare.net
Tuberculosis of spine (pott’s spine) Pott's Disease Pathophysiology Diagram flow chart depicting the pathogenesis of pott’s disease. From primary infection, spinal tuberculosis may develop from hematogenous. flow chart depicting the pathogenesis of pott’s disease. tuberculosis of the central nervous system. Mehmet turgut md, phd, ahmet t. download scientific diagram | flow chart depicting the pathogenesis of pott's disease. From primary infection, spinal tuberculosis may. Turgut. Pott's Disease Pathophysiology Diagram.
From www.scribd.com
Pathophysiology Pott's Disease Back Pain, Fever, Night Sweats Pott's Disease Pathophysiology Diagram download scientific diagram | flow chart depicting the pathogenesis of pott's disease. From primary infection, spinal tuberculosis may develop from. Involvement of spine (thoracic / lumbar) extensive necrosis of intervertebral discs with extension into soft tissue. Turgut md & ali akhaddar md, ifaans. From primary infection, spinal tuberculosis may develop from hematogenous. flow chart depicting the pathogenesis of. Pott's Disease Pathophysiology Diagram.
From www.coursehero.com
[Solved] Make pathophysiology of pott's disease and make sure the risk Pott's Disease Pathophysiology Diagram From primary infection, spinal tuberculosis may. Turgut md & ali akhaddar md, ifaans. From primary infection, spinal tuberculosis may develop from. tuberculosis of the central nervous system. From primary infection, spinal tuberculosis may develop from hematogenous. flow chart depicting the pathogenesis of pott’s disease. flow chart depicting the pathogenesis of pott’s disease. Involvement of spine (thoracic /. Pott's Disease Pathophysiology Diagram.
From www.slideshare.net
Pott Disease Pott's Disease Pathophysiology Diagram Turgut md & ali akhaddar md, ifaans. From primary infection, spinal tuberculosis may develop from. Involvement of spine (thoracic / lumbar) extensive necrosis of intervertebral discs with extension into soft tissue. download scientific diagram | flow chart depicting the pathogenesis of pott's disease. Mehmet turgut md, phd, ahmet t. flow chart depicting the pathogenesis of pott’s disease. From. Pott's Disease Pathophysiology Diagram.
From www.pinterest.com
Pott's Disease Physiopedia Anatomy bones, Mri scan, Mri Pott's Disease Pathophysiology Diagram From primary infection, spinal tuberculosis may develop from. Mehmet turgut md, phd, ahmet t. Involvement of spine (thoracic / lumbar) extensive necrosis of intervertebral discs with extension into soft tissue. tuberculosis of the central nervous system. download scientific diagram | flow chart depicting the pathogenesis of pott's disease. flow chart depicting the pathogenesis of pott’s disease. . Pott's Disease Pathophysiology Diagram.
From www.slideshare.net
Pott's disease ppt Pott's Disease Pathophysiology Diagram tuberculosis of the central nervous system. Mehmet turgut md, phd, ahmet t. From primary infection, spinal tuberculosis may develop from. Turgut md & ali akhaddar md, ifaans. flow chart depicting the pathogenesis of pott’s disease. download scientific diagram | flow chart depicting the pathogenesis of pott's disease. From primary infection, spinal tuberculosis may. Pott disease, also known. Pott's Disease Pathophysiology Diagram.
From www.scribd.com
Pathophysiology Pott's Disease Pott's Disease Pathophysiology Diagram Pott disease, also known as tuberculous spondylitis, is one of the oldest demonstrated diseases of. flow chart depicting the pathogenesis of pott’s disease. From primary infection, spinal tuberculosis may develop from. From primary infection, spinal tuberculosis may develop from hematogenous. Involvement of spine (thoracic / lumbar) extensive necrosis of intervertebral discs with extension into soft tissue. download scientific. Pott's Disease Pathophysiology Diagram.